Apparent Susceptibility Calculation Filter
Use the Apparent Susceptibility Calculation option to apply a Fast-Fourier Transform Apparent Susceptibility filter to a channel.
The filter option is available with the following extensions and menus:
- 1D FFT > 1D Filtering
- Moving Platform Gravity > Filters > Apply Single FFT Filter
Apparent Susceptibility Calculation filter options
|
Geomagnetic inclination |
Geomagnetic inclination (Default is 0. Script Parameter: FFTSUSC.INC |
|
Geomagnetic declination |
Geomagnetic declination (Default is 0). Script Parameter: FFTSUSC.DEC |
|
Amplitude correction inclination |
Amplitude correction inclination (Default is 20). Script Parameter: FFTSUSC.ACINC |
|
Depth to sources (in ground units) |
Depth to sources in ground units (Default is 0). Script Parameter: FFTSUSC.DEPTH |
|
Low-pass cutoff (in ground units) |
Low-pass Butterworth cutoff (Default is 0). Script Parameter: FFTSUSC.LP |
|
Total geomagnetic field strength (nT) |
Total geomagnetic field strength in nT (Default is 55000). Script Parameter: FFTSUSC.STRENGTH |
Application Notes
A susceptibility filter is actually a compound filter that performs a reduction to the pole, downward continuation to the source depth, correction for the geometric effect of a vertical square-ended prism, and division by the total magnetic field to yield susceptibility. An optional Butterworth low-pass filter may also be applied to remove noise from the data.
The susceptibility filter calculates the apparent magnetic susceptibility of the magnetic sources using the following assumptions:
-
The magnetic field has had the IGRF removed.
-
There is no remnant magnetization.
-
All magnetic response is caused by a collection of vertical prisms of infinite depth extent.
-
The result is in unit of S.I.
The validity of the results is naturally subject to how well the actual observed field conforms to these assumptions.
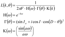
Apparent Susceptibility Filter

H(w) Downward continuation to h
G(q) Reduction to the pole
K(w) Geometric factor of a vertical prism -- (2a×¥×¥ in dimension)
a half cell size
w wavenumber (radians/ground_unit)
wavenumber direction (azimuth)
Parameters:
h Depth in ground_units, relative to the observation level at which to calculate the susceptibility.
Ia Pole reduction amplitude inclination. Inclination to which to use the phase component only in the reduction to the pole. The default is
20. If |Ia | is specified to be less then |I |, it is set to I.
I Geomagnetic inclination
D Geomagnetic declination
F Total geomagnetic field strength in nT
See Also:
Got a question? Visit the Seequent forums or Seequent support
Copyright (c) 2025 Bentley Systems, Incorporated. All rights reserved.
Privacy | Terms of Use

20. If |Ia | is specified to be less then |I |, it is set to I.