Band-pass Filter
Use the Band-pass option to apply a Fast-Fourier Transform Band Pass filter to a channel.
The filter option is available with the following extensions and menus:
- 1D FFT > 1D Filtering
- Moving Platform Gravity > Filters > Apply Single FFT Filter
Band-pass filter options
|
Short wavelength cutoff |
Short Wavelength cutoff value.(in ground units) (Default is 0.1). Script Parameter: FFTBANDP.SHORTW |
|
Long cutoff -> |
Long Wavelength cutoff value. Enter 0 to have an Infinite cutoff wavelength.(in ground units) (Default is 1). Script Parameter: FFTBANDP.LONGW |
|
Pass or Reject Defined Band |
Select "Pass" or "Reject" the defined band (default is Pass). Script Parameter: FFTBANDP.PASS |
Application Notes
This filter can be used to pass or reject a range of wavenumbers from the data. However, applying such a simple cutoff filter to an energy spectrum almost invariably introduces a significant amount of ringing (otherwise known as Gibb's Phenomena). We recommend that you use a smoother filter such as the Butterworth filter.
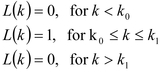
Band-pass Filter


Parameters:
k0 Low wavenumber cutoff in cycles/ground_unit.
k1 High wavenumber cutoff in cycles/ground_unit.
0/1 If 1, pass the defined band. Otherwise, reject the defined band. The default is to pass the band.
Got a question? Visit the Seequent forums or Seequent support
Copyright (c) 2025 Bentley Systems, Incorporated. All rights reserved.
Privacy | Terms of Use
