Horizontal Gradient
Use the Grid and Image > Filters > Horizontal Gradient menu option (geogxnet.dll(Geosoft.GX.GridUtils.GridGrad;Run)*) to calculate the grid gradient amplitude, or in a specified direction.
Horizontal Gradient dialog options
|
Input grid name |
The name of the input grid. Script Parameter: GRIDGRAD.GRD |
|
Output grid |
The name of the grid in which to place the result. Script Parameter: GRIDGRAD.GRAD |
|
|
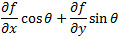
By default, the directional gradient will be calculated. If this option is selected then you have to provide the azimuth angle θ of the horizontal derivative. The equation applied is:
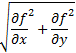
Alternatively, the magnitude of the horizontal gradient can be calculated as:
Script Parameter: GRIDGRAD.METHOD Script parameter settings:
|
|
Gradient direction |
The angle at which to calculate the gradient (in degrees). Counter clockwise from positive X (CCW from +X) is defined as: Script Parameter: GRIDGRAD.ANGLE |
Application Notes
*GX.NET tools are embedded in the geogxnet.dll file located in the \Geosoft\Desktop Applications\bin folder. To run this GX interactively (outside the menu), first navigate to the bin directory and provide the GX.NET tool in the required format. See the Run GX topic for more guidance.
A 3x3 point convolution filter is applied to the grid to produce the gradient result.
See Also:
Got a question? Visit the Seequent forums or Seequent support
Copyright (c) 2025 Bentley Systems, Incorporated. All rights reserved.
Privacy | Terms of Use

Gradient magnitude
Directional gradient
