Invert for Sources (Dynamic)
Use the Invert for Sources (Dynamic) option (Geosoft.uxo.gxnet.dll(Geosoft.GX.UXO.UxaDetermineSources;Run)*) to invert the dynamic advanced EM Sensor data to determine the potential source parameters at the target locations identified.
Expand to see the locations (menus) where this option is available.
UX-Analyze extension:
- AGC Dynamic Data > Determine Flag Locations
- AGC Expert User > Invert Data
Invert for Sources (Dynamic) dialog options
Database prefix | Select the sensor (data) database prefix. Script Parameter: UXANALYZE.DYN_DBPREFIX |
Source group | Specify a name for the line/group that will be created into the source database through the dynamic inversion process. Prepopulated as "Target". If Classify and Rank has been executed, this field will be set to the source group name input in the 'Databases' tab of the 'Classify and Rank' dialog. Script Parameter: UXANALYZE.SOURCEGROUP |
Target database group | Select the target group from the target database. Script Parameter: UXANALYZE.TARGETGROUP |
ID channel | Select the target ID channel. Default value: UXA_Target_ID Script Parameter: UXANALYZE.TARGETID |
Mask channel | Select the mask channel that will be used to identify for which targets to invert the data. Default value: UXA_Mask Script Parameter: UXANALYZE.TARGETMASK |
Sensor channel suffix - leveled | Specify the sensor channel suffix for the leveled sensor data. Script Parameter: UXANALYZE.SENCHAN_SUFFIX |
Gates | Select the low and high time gates from the list, which limit the range of data used when modelling the data. Default value for low gate: UXA_GateFirstValidTime (the one with the first valid time). Default value for high gate: the maximum number of gates minus one. Script Parameters: UXANALYZE.DYN_LOGATE UXANALYZE.DYN_HIGATE |
Pitch channel | Select the pitch channel from the list of existing database channels. Default value: UXA_PITCH_FILT. Script Parameter: UXANALYZE.PITCH |
Roll channel | Select the roll channel from the list of existing database channels. Default value: UXA_ROLL_FILT. Script Parameter: UXANALYZE.ROLL |
Heading channel | Select the heading channel from the list of existing database channels. Default value:UXA_COG. Script Parameter: UXANALYZE.YAW |
Signal amplitude | Specify the signal amplitude type:
If a Z transmitter-receiver (Tx/Rx) combination is not available for the selected dataset, the option is disabled. For example, for the APEX and UltraTEM sensors, there are no monostatic Tx-Rx combinations, and Monostatic Z is disabled. The signal amplitude is calculated as the maximum measured response for the selected Z transmitter-receiver combination. The result is saved in the UXA_Sig_Amplitude channel. Script Parameter: UXANALYZE.DYN_CHANNEL_AMPLITUDE |
Data chip cross-line dimension (m) | Specify the data chip crossline dimension. This dimension should extend across at least three survey lines. Default value: 1.6. Script Parameter: UXANALYZE.DATACHIP_CROSS_LINE |
Data chip along-line dimension (m) | Specify the data chip along-line dimension. This dimension should extend along the line approximately 1.5 times the sensor array length. Default value: 1.2. Script Parameter: UXANALYZE.DATACHIP_ALONG_LINE |
Number of dipoles | Select the number of dipoles, which determines how many sources will be modelled. The ID of each source follows this pattern: [FLAG]_[MEASUREMENT]_[SOLVER][SOURCE]. For example, if the number of dipoles selected is 3, a total of six sources will be calculated. These six sources will be: one 1-dipole, two 2-dipole, and three 3-dipole. If flag ID is 79 and measurement ID is 1, the number of dipoles (value of 3) generates the following sources: 79_001_11, 79_001_21, 79_001_22, 79_001_31, 79_001_32, and 79_001_33. Default value: 3. Script Parameter: UXANALYZE.NDIPOLE_SOLVER |
Invert identified anomalies | If selected, only the data at the identified target locations are inverted. Script Parameter: UXANALYZE.DYN_RELOCATE_SOURCES [0] |
Invert identified anomalies and reposition data chip to invert unidentified nearby sources | If selected, all the target locations are inverted, and the sources are analyzed to find out if there is a need to add new targets to the target database. See the Application Notes below for additional details on repositioning the data chip. Script Parameter: UXANALYZE.DYN_RELOCATE_SOURCES [1] |
Reposition data chip to invert unidentified nearby sources | If selected, all the sources are analyzed to find out if there is a need to add new flags to the target database. See the Application Notes below for additional details on repositioning the data chip. Script Parameter: UXANALYZE.DYN_RELOCATE_SOURCES [2] |
Amplitude | Specify the signal amplitude grid file name. Script Parameter: UXANALYZE.DYN_AMP_GRID |
Threshold | Specify the amplitude grid value below which you want peaks to be removed from the list. Script Parameter: UXANALYZE.DYN_AMP_THRESHOLD |
Model coherence | Specify the model coherence grid file name. Script Parameter: UXANALYZE.DYN_COH_GRID |
Threshold | Specify a model coherence grid value below which you want peaks to be removed from the list. To help determine a reasonable threshold, you can use the Determine Coherence Threshold tool. Script Parameter: UXANALYZE.DYN_COH_THRESHOLD |
Application Notes
*The GX tool will search in the gx folder. The GX.Net tools, however, are embedded within the Geosoft.uxo.gxnet.dll located in the bin directory. If running this tool interactively, bypassing the menu, change the folder to point to the bin directory, then ensure the GX.Net tool is supplied in the correct format when called directly.
Repositioning the Data Chip
When one of the data chip repositioning options is selected, the sources are analyzed to determine whether the source locations lie near the edge of the existing data chips. If a source lies near the edge of a data chip, a new target is added to the target database, a new data chip is extracted, and the target is inverted.
For each inverted source:
The distance from the associated target to the source is calculated (d).
If "d" is less than the maximum flag to source distance (max_d), the source is accepted.
If "d" is greater than the maximum flag to source distance (max_d), the model coherence grid (coh_grid) and/or amplitude grid (amp_grid) values are calculated at the source location.
If the grid values are below associated threshold values:
The select source is indicated as being accepted. The UXA_ISS_ADDED_ID is set to -1.
No new targets are added.
If the grid values are above the associated thresholds:
The selected source is indicated as being “recentered”. The UXA_ISS_ADDED_ID is set to 1.
A new target is added to the target database. The new target will have the location of the “recentered” source. However, if there are several “recentered” sources that are within maximum source to source threshold, the location of the new target will be the average of the “recentered” sources.
At the new target location, a data chip is extracted and inverted.
The maximum flag to source distance and maximum source to source thresholds are set in the "uxa.config" file (see the UX-Analyze Configuration File section below), in the <dynamicData/determineSources> section:
<!--invert for sources (dynamic)-->
<determineSources>
<concurrentPoints value="500"/>
<sourceFlagDistance max="0.45"/>
<sourceSourceDistance max="0.3" />
</determineSources>
Source Database Parameters
Once the inversion is complete, the source database is updated with the parameters listed below:
UXA_TARGET_ID The target id is composed of four parts:
- Geo id
- Flag id
- Measurement id
- Source id
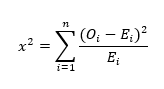
UXA_FLAG_X The easting or X coordinate of the target/flag location. UXA_FLAG_Y The northing or Y coordinate of the target/flag location. UXA_ACQ_DATE The acquisition date of the sensor data. UXA_ACQ_TIME The acquisition time of the sensor data. UXA_MASK Mask channel that can be used to select/deselect sources for subsequent analysis. UXA_MASK_QC Quality control mask channel that can be used to select/deselect sources for subsequent analysis. UXA_FIT_X Fitted X location of the source. This channel will be set as the default X channel in the Source database. UXA_FIT_Y Fitted Y location of the source. This channel will be set as the default Y channel in the Source database. UXA_FIT_Z Fitted Z location (elevation) of the source. UXA_Fit_BGS The depth below ground surface of the source. This channel will be set as the default Z channel in the Source database. UXA_FIT_CHI2 The Chi-Square test metric – a measure of how well the model data matches the observed data.
Pearson's Chi-Square test is calculated across the entire time window for all TX-RX combinations. The value of the Chi-Square test statistic is:
Where:
x2 = Pearson's cumulative test statistic, which asymptotically approaches a x2 distribution.
Oi = observed or measured data.
Ei = expected or modeled data.
n = the number of selected time gates multiplied by the number of transmitter and receiver combinations and by the number of measurements in the data chip.
This measure is the overall fit for all the data for a single anomaly (as opposed to the Chi-square in the Subset database, which is the individual fit for RX-TX combinations).
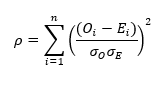
UXA_FIT_COH The fit coherence metric, the correlation coefficient squared – a measure of how well the model data matches the observed data.
The value of the correlation coefficient squared is:
Where:
ρ = Pearson's correlation coefficient.
Oi = observed or measured data.
Ei = expected or modeled data.
σO = standard deviation of the observed data.
σE = standard deviation of the expected data.
n = the number of selected time gates multiplied by the number of transmitter and receiver combinations and by the number of measurements in the data chip.
A high fit coherence does not guarantee that the fit results are accurate – only that the match between modeled and measured data is high.
UXA_FIT_ERROR
Error flag:
- 0: Fit converge successfully
- 1: Unexpected or general error
- 2: Maximum number of iterations reached
UXA_FIT_B1
UXA_FIT_B2
UXA_FIT_B3
The polarizabilities (or sometime “betas”), primary, secondary and tertiary.
These are the three response coefficients, that represent the eigenvalues of the magnetic polarizability tensor. They can be thought of as components along the three orthogonal axes of the induced dipole. Negative values are physically impossible.
The relative size of the coefficients provides information about the shape of the object. For an isolated metallic object:
- Cylindrical shape, B1>B2≈B3
- Spherical shape, B1≈B2≈B3
- Plate shape, B1≈B2>B3
UXA_FIT_AZ Declination or azimuth of the source dipole (degrees). UXA_FIT_INC Inclination of the source dipole (degrees). UXA_FIT_ROLL Rotation or roll of the source dipole (degrees). UXA_SIG_AMPLITUDE The signal amplitude of the largest measured signal for the monostatic Z TX-RX coil combinations. UXA_ISS_ADDED_ID The source was recalculated by repositioning the data chip:
- -1: The selected source was accepted "as is" with no repositioning required. No valid grid anomalies were detected.
- *: No repositioning required.
- 1: The selected source was “recentered” and new target location added to the target list.
UXA_BLOCKTIMEONECOIL The length of the entire measurement cycle (including transmits, record, and repeats), in milliseconds. UXA_GATECENTERS The time in milliseconds of the centre for each time gate. UXA_INITIAL_ACQUISITION_ID The ID of the group of the sensor data used in the inversion from the Data database.
Subset Database Parameters
During the inversion of the target data, a subset database is created to manage the data chips. For each target, a data chip is extracted; this is data used in the inversion. The data chip is a rectangular window centered on the target location; it is oriented to be parallel with nominal line direction and extends. During a most typically process there is no need to usually view the subset database.
The subset database will have the name <Prefix>_Subset_<Target group>_<Source group>.gdb. Within the subset database, the data for each flag to be modelled are stored in groups that have the name <Target Id>.<Number of Dipoles>. The calculated target data is saved in the subset database alongside of the observed data.
The subset database contains the parameters listed below.
UXA_X_Coil
UXA_Y_Coil
UXA_Z_Coil
The easting (X), northing (Y), and elevation (Z) of the sensors receiver (RX) coils. UXA_PITCH_FILT The pitch of the sensor array. UXA_ROLL_FILT The roll of the sensor array. UXA_COG The course-over-ground heading for the sensor array. UXA_TX The transmitter coil name/label. UXA_RX The receiver coil name/label. UXA_ORIGINAL_LINE The survey line name in the Data database. UXA_ORIGINAL_FIDUCIAL The fiducial number of the Data database. UXA_DATA_NORM The sensor data, normalized for current. UXA_DATA_NORM_final The data used for the inversion (currently the same as UXA_DATA_NORM). UXA_DATA_NORM_model The model data resulting from the inversion. UXA_DATA_NORM_residual The residual, the difference between the observed/measured data, and the modelled data.
UX-Analyze Configuration File
The configuration file contains various default or standard settings for the tools. It is not recommended that you edit this file unless directed by Support. The file, "uxa.config", is in the "C:\Program Files\Geosoft\Desktop Applications \etc" folder.
Got a question? Visit the Seequent forums or Seequent support
Copyright (c) 2025 Bentley Systems, Incorporated. All rights reserved.
Privacy | Terms of Use


